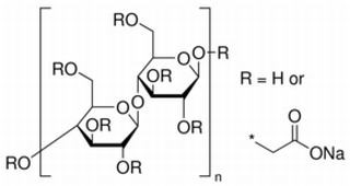
Sodium carboxymethylcellulose cellulose is the most widely used cellulose
in the world today. It is a cellulose derivative with glucose polymerization
degree of 100-2000. Otomless, hygroscopic, soluble in water, insoluble in
ethanol, ether. It is white or milky white fibrous powder or particles,
odorless, with hygroscopic properties. It is easily dispersed in water into a
transparent adhesive solution and is insoluble in organic solvents such as
ethanol.
 
 
			
			 
  
			 
